Feature Scaling (Feature Normalization)
- 주로 머신러닝에서 쓰이는 기법 (특히 거리 기반의 머신러닝 기법들)
- Feature별로 단위, 규모가 너무 차이가 나다보면 Feature들을 서로 비교하거나, Feature끼리 곱하고 나누는 등의 연산을 수행할 때, 또는 거리를 측정할 때 문제가 발생한다.
- 위와 같은 발생 가능한 문제들을 예방하기 위해 Feature의 스케일을 정규화시켜준다.
- 이를 Feature scaling 또는 Feature normalization이라고 부른다.
c.f.) 열(Column) == Attribute / Dimension / Feature
Feature scaling을 하는 대표적인 방법으로는 Min-Max Scaler, StandardScaler, RobustScaler가 있다.
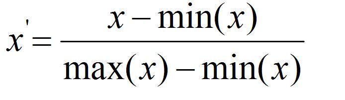
1. Min-Max Scaler
- min(열) = 0
- max(열) = 1
- 해석이 용이해서 많이 쓰인다.

2. Standard Scaler
- mean(열) = 0
- std(열) = 1
- Min-Max에 비해 성능이 더 좋은 경향이 있다.

3. Robust Scaler
- median = 0
- IQR = Q3 - Q1 = 1

'멋쟁이 사자처럼 AI SCHOOL 5기 > Today I Learned' 카테고리의 다른 글
| [2주차 총정리] folium.choropleth, CircleMarker을 활용한 지도 데이터 시각화 (기초) (0) | 2022.03.24 |
|---|---|
| [2주차 총정리] seaborn 활용한 데이터 탐색 (Data Exploration) - 한글데이터 시각화 / Scaling / heatmap 옵션으로 꾸미기 (0) | 2022.03.23 |
| [2주차 총정리] 데이터프레임 합치는 방법 (join, merge, concat) (0) | 2022.03.23 |
| [2주차 총정리] 데이터프레임에서의 Masking과 Filtering (0) | 2022.03.23 |
| [2주차 총정리] pandas 유용한 함수 (apply, lambda, map 함수) 총정리 (0) | 2022.03.22 |